以前上学的时候,学SMITH圆图的时候,觉得真难啊!
大四因为确定保研到电磁场与微波专业了,所以除了上课和做毕业设计,其他的时间,就是带着当时的教材去图书馆自习。
依稀记得,那本教材,是买的高年级的旧书。那本书有多旧呢?旧到我一打开书,我就觉得脸上痒。
我也不知道是我心里作用,还是真的有啥到我脸上了,比如旧书上是不是有螨虫啊?
感觉当时,尽管很上进,但是心有余而力不足,总之,是没看懂。
到了研究生后,可能也用的不多吧,反正也还是懵懵懂懂的。
等到了工作岗位后,感觉突然就开窍了。觉得,原来SMITH圆图是这么回事啊!
也许,对大多数人来说,学习就是一个螺旋上升的过程,有时这个螺旋的半径还很大,所以可能看了很长时间的书,还是不太明白。然后在爬坡的过程中,大脑还在接收新的知识嘛,然后收着爬着,突然有一天,发现自己已经上了一个阶梯,不懂的开始有点懂了。
今天看微波工程上的SMITH圆图这一章,发现其实上面也是短短几页,就差不多把SMITH圆图讲清楚了。
——————————————————————————————
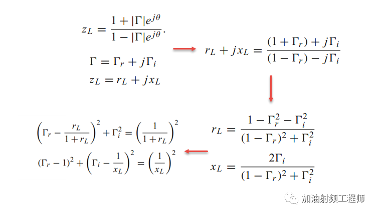
SMITH圆图的底色是反射系数。
如果把反射系数用极坐标来表示的话,即用幅度和相位来表示。
那么SMITH圆图上的一切图形,都是在代表反射系数的幅度为1的单位圆内。

又因为反射系数与输入阻抗是一对一的对应形式,所以可以由反射系数推导出传输线在相应位置的阻抗。
阻抗则包括电阻圆和电抗圆。

网上找了一下用matlab绘制SMITH圆图的程序,自己加了点动画,出来的结果是这样的。想看源代码的话,见参考文献[2]。
参考文献:
[1] 微波工程
[2] https://www.mathworks.com/matlabcentral/fileexchange/1923-smith-chart-plot
评论区
登录后即可参与讨论
立即登录