因为有限的电导率和有损耗的填充介质,传输线会有损耗。
传输线的分布参数模型如下图所示。

其中,R表示由于金属的有限电导率带来的损耗,而G则表示由于有耗电介质带来的损耗。
由上面的分布参数模型,可以得到传输线的电报方程,从而得到传输线上电压波的传输方式。

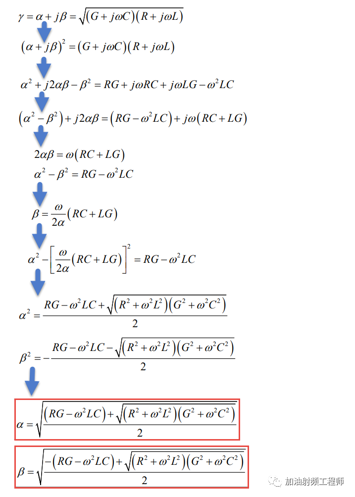
其中,上面的复传播常数 γ的等式可以做如下变换。

因此,由于有限电导率和电介质损耗,会使得电压在传输过程中,幅度发生衰减。
但是除了幅度会衰减之外,还会有什么影响呢?
当传输线无耗时,即R=0,G=0,此时:

此时,相位项 β是频率的线性函数。
但是,如果不忽略传输线的损耗,严格按照式5来计算出衰减因子 α和相位项 β,如下图所示。

此时,当不忽略损耗时,衰减因子 α和相位项 β都不是严格的频率的线性函数。
相速的定义为:

这说明,相速随频率变化。
这呢,又进一步暗示,如果一个含有多个频率的宽带信号,沿着有损耗的传输线传输的话,不同频率分量到达传输线接收端的时间会有不同,即会产生色散效应。
而且不同频率对应的衰减幅度还也一致。
虽然,β与线性函数的偏离可能非常小,但是如果传输线很长,那影响就不能忽略。
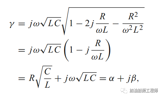
所以,就有了无畸变传输线的概念,即distortionless line。
当传输线的参数满足下面条件时,传输线可以是一个无畸变传输线:

此时式5可以简化为:

此时,虽然传输线还是有衰减,但是衰减的幅度与频率无关,而且 β是频率的线性函数,即相速不是随频率变化的函数。
因此无畸变传输线,虽然有耗,但是可以无失真的传输脉冲或者宽带调制信号。
所以,传输线的损耗,除了带来衰减之外,还带来了色散效应,即传输时,其幅度和相位的变化,都与频率相关。
参考文献:
[1] 微波工程
[2]
往期推荐:
[1] 噪声系数,我们非常熟悉的一个参数~
[2] 原来从一个公式,就能看到这么多非线性特性~
[3]仿真那些事呀(二)
评论区
登录后即可参与讨论
立即登录