
工程名称:风雅一号板—MicroPython教学堆叠式开源开发板套件
工程作者:Freak嵌入式
前言
小伙一口气开源了**12块扩展板**!
代码硬件 均100%开源!
包含:LCD电容触摸屏转接板、以太网与SD卡扩展板、通用兼容扩展板、数据转换板、七彩触控扩展板、DDS信号发生板、环境与存储采集板、串口电平转换板、步进电机驱动板、OLED显示与交互扩展板、LCD屏幕人机交互板、Grove接口扩展板……
还能堆叠使用⬇️

想入门嵌入式?
想学习MicroPython?
把这些板子过一遍,就稳了!
下文会附上所有板子的电路设计图,建议收藏后慢慢“食用”。
文末和下方还会附上【开源网址】,想复刻学习的友友可自行“深入了解”。
开源网址:https://oshwhub.com/freakstudio/project\_sdpettzu
*0***1
电路设计图
所有拓展板,均基于嘉立创EDA设计,12块扩展板的设计图如下:
01
3.2寸LCD电容触摸屏转接板



02
以太网与SD卡扩展板


03
通用兼容扩展板


04
数据转换板


05
七彩触控扩展板


06
可调DDS信号发生板


07
环境与存储采集板


08
串口电平转换板


09
步进电机驱动板


10
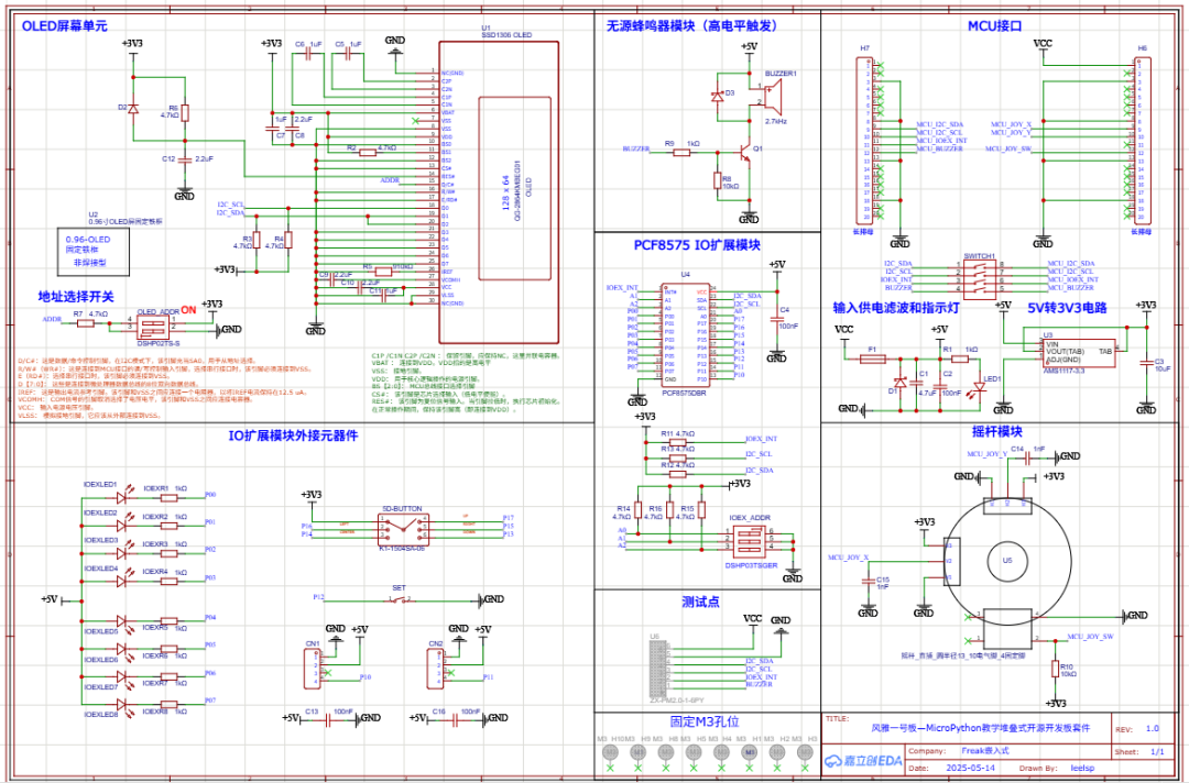
OLED显示与交互扩展板


11
LCD屏幕人机交互板


12
Grove接口扩展板


*0***4
开源网址
评论区
登录后即可参与讨论
立即登录