锁相环的基本原理
本章主要介绍锁相环的基本原理,主要介绍电荷泵锁相环的基本原理以及连续线性模型分析方法,在连续线性模型分析的基础上分析环路的稳定性,最后给出环路滤波器的参数的计算公式。

其中整个锁相环系统是一个相位负反馈系统,主要由鉴频鉴相器、电荷泵、环路滤波器、压控振荡器、分频器等模块组成。将分频器反馈的信号和参考时钟信号进行比较当两者的相位差为0时,环路进入稳定状态。对于锁相环在原点的个数对应了其PLL的类型,极点的个数表征了PLL的阶数,由于VCO的传递函数是Kvco/s所以PLL至少为一类锁相环。
首先分析一类锁相环,由PLL各个模块的传递函数推导PLL整体的传递函数

所以其传递函数为


得到

定义自然频率

阻尼系数

一般阻尼系数越大越稳定,但是其锁定时间也会变长,一般设置这个值为0.707。
可以采用用自然频率和阻尼系数设计环路参数,通过这两个参数去反推KPD、Kvco、WLPF,但是其存在三个未知参数,所以需要自己设定一个参数一般是KPD其中KPD=Ip/2ℼ。
但是一般所采取的方法是通过对开环传递函数的分析,根据极点位置,通过0dB频率和相位裕度这两个变量推导环路参数。
要得到开环传递函数,一般采取的做法是将环路断开,由于其反馈系数为1所以其开环传递函数为

其传递函数有两个极点一个来自VCO位于其原点,另一个来自滤波器。

一般定义KPDKvco为环路增益,零极点关系可以看出当带宽wu增加时其相位裕度变小,一般定义s=wu,令根模的平方等于1所以其相移的表达式可以表示为

所以其相位裕度的表达式为

当wu=wLPF时,其相位裕度为45度。
当相位裕度小于45度时其wu<wLPF所以开环传递函数近似等于K/S,由于ξ,

可忽略,所以开环增益K近似等于0dB带宽。
当wLPF减小时,即

减小其相位裕度也随之减小。一般在设计锁相环时,往往以确定环路带宽和相位裕度这两个值开始,锁相环的开环增益为0dB时所对应的频率为环路带宽,而定义锁相环开环增益在环路带宽频率点的幅角为相位裕度。一般取相位裕度为45度到70度,相位裕度越大环路越稳定,但是其相应的锁定时间也会越长。电荷泵锁相环设计经验法则:环路带宽wu不能超过参考频率wref的1/10否则会导致环路的不稳定。
根轨迹一般用于分析闭环传递函数的极点,通过根轨迹判定系统的稳定性就是判定其根轨迹是否一直在左半平面。根轨迹分析闭环传递函数的极点一般随开环增益的增加而在S平面上形成的轨迹。根轨迹往往从系统开环传递函数的极点出发到开环传递函数的极点结束,所以想要保持系统稳定必须使得其根轨迹在左半平面。
总结一下对于一阶锁相环其分析步骤如下:首其待确定的参数主要有KPD、Kvco、wLPF,所以需要设定相位裕度的目标,一般而言其相位裕度为

其中开环0dB频率往往等于开环增益K,所以近似等于闭环带宽,可以结合相位噪声和锁定时间确定。因为KPD对于特定的PD是已知的,而Kvco可以根据K算出。然后通过相位裕度和单位增益带宽求出滤波器的带宽,最后可以画出根轨迹观察闭环极点随环路增益的变化。
但是一类锁相环存在一定的局限性:主要有1.具有静态相位差,为改变频率其相位差会改变;2.增加KPD减小相位差但是稳定性会受到影响;3.为降低VCO的噪声,降低wLPF其相位裕度会减小,导致锁定范围减小。
二类PLL
所以以下讨论基于电荷泵的二类PLL:1.在环路滤波器中引入积分器使得PLL变成二类;2.PLL锁定后,输入相位差必须为0不然VCO的控制定压会一直变化;3.在环路滤波器中加入不同的零极点改变环路的动态特性。
当PLL传递函数在原点有两个极点时其相移为180度,为不稳定系统,所以需要引入零点。没有零点的开环传输函数如下:

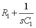
其中两个极点均位于原点,相位裕度为0所以环路不稳定。在系统中加入电阻补偿后,LPF的传递函数为

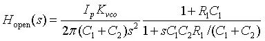
零点的加入使得相位裕度大于零度,PLL变得稳定相位裕度接近90度,但是CP存在电流失配,当PLL锁定后有周期性的电流流入LPF,所以VCO控制线上存在较大参考时钟频率的谐波,往往在后级加入一个电容以滤除VCO控制线上的噪声。但是这导致开环传递函数增加了一个极点其位于0dB带宽外的wp处而其相位域的响应在

处达到了最大值,所以一般将wu设立在该频率处使得其可以达到最大相位裕度。其开环传递函数如下

其中C2用于过滤PLL带外的干扰和噪声,C2通常小于C1
在低频时电容的阻抗较大所以

在频率稍大的时候,C1的阻抗比R1小,而C2的阻抗较大所以

当频率很高时,C2占主导所以

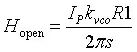
在0dB附近R1占主导,

可以得到



其相位裕度


总结一下对于二阶锁相环其分析步骤如下:
-
根据相位噪声,锁定时间要求初步确定PLL的带宽,其带宽往往由相位噪声和锁定时间要求得到
-
根据电荷泵的噪声,VCO的噪声和VCO频率调谐范围确定Ip,和Kvco。
-
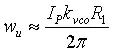
由带宽公式

计算得到R1的值。
- 根据

由于需设定最大相位裕度,所以零点和极点的几何平均值的位置是PLL带宽的位置。由于相位裕度大约为60度比较合适,所以可以求解零点和极点的频率
5.根据

的值计算得到C1和C2
6.将上面的计算值代入传递函数,画出波特图,根轨迹,得到精确的0dB带宽,相位裕度闭环传输函数。
评论区
登录后即可参与讨论
立即登录