

SRR上根本没有电场分布,电场分布在中间那一段导线上,于是我将两个SRR删除,发现S11曲线也没有发生变化,所以谐振全部是由中间那一条线产生的,那之前我们所仿真的都是错误的。心态爆炸

小刚找了一篇相关论文,主要向大家解读一下这篇论文。
论文来自IEEE—— <美>电器和电子工程师学会
这篇论文提出了一种微波频率下电小样品复介电常数的非接触测量方法。

- 导言
介电常数是描述电磁波与材料相互作用的重要参数,其在工业制造以及科学研究有重要作用。测量的方法有很多在高频传输线法、共振腔法和自由空间法被广泛应用;低频主要采用电容或者磁感应的方法。例如磁感应法和自由空间法,不需要在测量装置或波导腔中插入被测试的特殊样品(SUTS),要获得较高的测量精度,关键是要利用高Q值。难点在于测量仪器与高q值谐振线圈之间的阻抗匹配,才能达到最佳的测量精度,这使得线圈很难获得最大谐振电流。这篇文章主要引入磁耦合,高Q因子谐振线圈的测量装置通过传统的磁感应方法来解决这一难题。提出了一种基于发射开口同轴探头的近场测量方法。我们扩展了我们以前使用的方法来改进传统的磁感应方法,并获得了一种新的测量装置,它可以在从RFS到毫米波频率范围内工作。
为了方便台式机非接触测量,并防止高频共振引起的远场辐射产生不必要的环境反射,我们用电耦合代替磁耦合谐振线圈,高Q值亚波长分裂谐振器(SRRs)有效抑制远场辐射。我们的方法能够在开放的空间中无线测量电小样品,适合于重复桌面测量复介电常数。

- 方法介绍
随着深亚波长尺寸的增加,SRRs和CSRRs比普通的半波长微带谐振器具有更高的Q因子。为了比较我们的方法与现有的基于SRR和CSRR的接触测量方法的区别,本节将介绍这两种方法的原理。
1.接触式方法
下图给出了一个典型的基于CSRR的复介电常数接触测量装置,

其中,腐蚀在金属地面上的CSRR由微带线馈送,而SUT直接放置在CSRR上。在基于CSRR和SRR的接触测量中,具有指定厚度的样品应该足够大,足以完全覆盖SRR或CSRR,因此,可以检测到由于这些SUT而产生的相对较大的频率偏移来检索介电常数。其等效电路较为复杂,分析检索方程很难推导。假设其检索方程为:

其中εr是相对介电常数,△f是由SUT引起的频率偏移,A、B和C是可以由多个已知SUT校准的常数。为简单起见,SUT被简单地假定为线性地影响SRR或CSRR的总电容和/或电感。在这种情况下,介电常数可以计算为

而常数A1的校准只需要一个已知的SUT。对于基于SRR和CSRR的接触测量,其优点是由于亚波长共振的高Q值而具有较高的灵敏度,缺点是由于SUTS与SRRs/CSRRs之间存在较薄的气隙,对测量结果的影响较大,严重影响了这种接触测量的精度和稳定性,要求SRR/CSRR和SUT的表面高度平坦。
2.非接触式方法
如前所述,提出的方法的一个自然扩展是用高Q值亚波长SRR代替谐振线圈,以实现从RF到毫米波的测量频率。如下图所示

为了获得强耦合亚波长谐振,使用具有特性阻抗Zc的标准微带线来激励SRR的谐振。与用于超材料的常规SRR不同,这样的SRR还配有地层。这样,SRR的维数可降至波长的十分之一,从而进一步提高谐振Q值,抑制远场辐射。
用非接触测量,SUT不再被放置在SRR上,因此,可以有效地避免由气隙引起的问题。对于深亚波长SRR,其远场范围很小,因此,SUTS仍然可以放置在SRR附近,因为它们对亚波长共振的影响在测量仪器的动态范围内很容易被感觉到。接触测量和非接触测量的另一个主要区别是,非接触测量是基于阻抗变化的(或相当于反射系数)。而接触测量是基于谐振频率的变化。因此,用于非接触测量的检索算法将是完全不同的。没有显著的频率偏移,这也允许测量相同频率的不同SUT的复介电常数。在图2(b)的等效电路模型,其中SRR通过间隙电容Cg被电激励。SRR相当于串联RLC谐振网络。注意,Cg取决于微带和SRR之间间隙的宽度和长度。根据图2(b),在AA位置没有SUT的情况下,微带线的阻抗为

ZSRR = RSRR + jωLSRR +1/jωCSRR是从微带线上看到的SRR的等效阻抗,XL是由于开路负载和微带线的L2长度而产生的一个恒定的电抗。位置AA'处的阻抗匹配要求ZAA'=Zc在谐振频率处。根据传输线理论,可以通过调谐L2和间隙电容CG来实现这一点。请注意,调优L2和调谐CG时XL的变化范围很广,可以有效地影响ZAA'的电阻。因此,微带线在aa位置的阻抗是

其中,ZSRR(ε˜r,ω)是由于SUT引起的ZSRR的扰动,ε˜r是S的复介电常数。
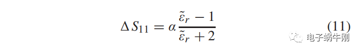
相应地,反射系数(S11)的变化对于SUT可以导出为

其中L1是AA和测试端口之间的距离,k是微带线的波数。

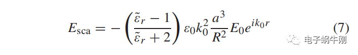
其中I是在SRR中流动的共振电流和/或位移电流,E¯inc 和 E¯tot分别是事件和总字段。当SUT的大小小于波长时,在这种情况下,srr感知的回散字段可以表示为

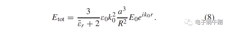
R是SRR和SUT之间的距离,a3是SUT的体积,k0是空气中的波矢量,E0是SRR传输的电场的振幅。然后,SRR位置上的总字段是

结合公式8和6



与我们在改进磁感应方法的工作相比,利用阻抗的变化作为检索算法,这篇文章采用了S11的变化。其原因是AA'与测试端口之间的距离很难准确地得到。使用S11的变化的另一个优点是测量装置的校准只需要两个简单的步骤。
评论区
登录后即可参与讨论
立即登录