自2017年Hadani等提出针对高速移动场景通信的OTFS调制波形以来,不少学者、研究机构及产业界,进行了深度挖掘,发展出了同样针对高速移动场景的AFDM调制方案,并研制样机进行落地验证。
Yi Hong等作者在《Delay-Doppler Communications Principles and Applications》一书中,对OTFS的信号检测方法进行了归纳总结,并比较了几种检测算法的性能。
其中,OTFS调制的检测算法包括:单抽头频域均衡;LMMSE检测;MP检测;MRC检测;迭代Rake Turbo译码器。
笔者曾将原书籍翻译为《时延-多普勒通信:原理与应用》,本文摘取书中的第6章,介绍上述几种检测算法。
1.单抽头频域均衡
单抽头频域均衡器假设一个缓慢时变的多径信道,其中每个子载波在通过信道传输后保持正交。这允许在频域中实现低复杂度的均衡,从而为缓慢时变信道中的OTFS提供了一种体面的检测方法。
在OFDM系统中,通常采用单抽头频域均衡算法,比如ZF均衡或MMSE均衡。
下面我们简单介绍OTFS的单抽头频域均衡,截图来自笔者翻译的《时延-多普勒通信:原理与应用》。





2.LMMSE检测器
在上一节中,我们讨论了单抽头均衡器,它类似于OFDM中常用的检测器。尽管单抽头均衡器具有非常低的复杂性,但它仅适用于静态或非常低移动性的无线信道。这是因为高速移动引起的多普勒扩展引入了ICI干扰,导致性能下降。因此,在本节中,我们将讨论众所周知的用于OTFS的线性最小均方误差(LMMSE)检测器,它可以在静态和高速移动信道中提供良好的性能。

最后,我们再看LMMSE的计算复杂度。

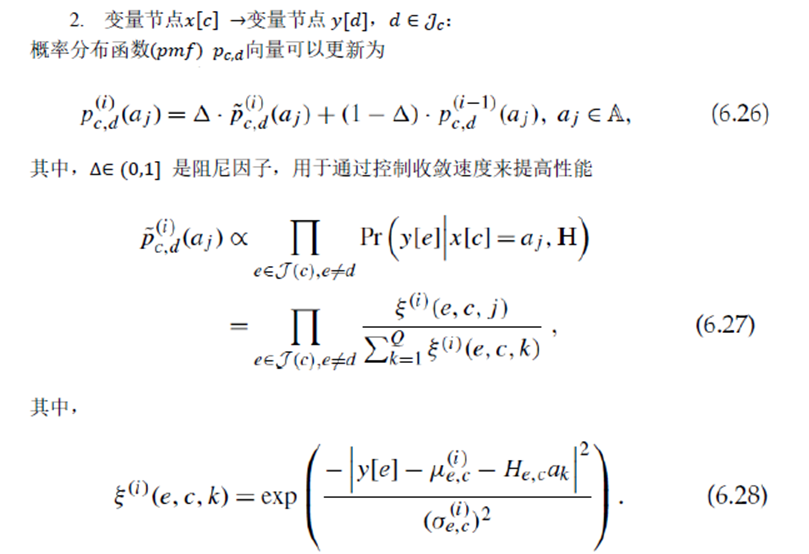
3.MP检测
在本节中,我们介绍OTFS的最新消息传递(MP)检测。LMMSE检测可以在双选择信道中提供良好的性能,但代价是高复杂性,如上所述。然而,单抽头均衡需要最低的复杂性,但其性能随着多普勒频移的增加而下降。MP检测可以提供比LMMSE检测更好的性能,且复杂度低得多,并且可以应用于所有OTFS变体。






我们令ϵ=0.2来忽略η小的波动。这里,第一个条件出现在最好的情况下,所有的符号都收敛了。如果当前迭代提供的决策比之前迭代中的最佳决策差,则第二个条件用于停止算法。
MP检测算法的复杂度分析:

4.MRC检测
在本节中,我们讨论最大比率合并(MRC)检测,它提供与MP检测相似的性能,但复杂性要低得多。本文提出的MRC检测方法是受码分多址(CDMA)系统中传统rake接收机的启发,因为OTFS可以被解释为具有时间和频率扩展的信息符号的二维CDMA。










MRC检测算法复杂度分析:




5. 迭代Rake Turbo译码器
接下来,我们将未编码的OTFS系统扩展到编码系统,其中我们将低密度奇偶校验(LDPC)码视为系统中的纠错码(ECC)。
在发送端,信息位由LDPC编码器编码,然后是随机交织器。交错编码位被映射到QAM符号,这些QAM符号通过OTFS调制产生时域信号。在接收端,可以采用迭代的方式进行MRC联合检测和解码(即迭代rake turbo译码器),如图6.3所示。

首先,第6.5.5节中提出的单抽头MMSE均衡器提供的QAM符号的初始估计被馈送到MRC检测器中,生成比特级对数似然比(LLR)。输出的LLR进一步经过随机去交织和LDPC解码处理,生成硬判决编码位。这些编码位被交织,QAM调制,并反馈给MRC检测器作为更新的输入符号向量估计。这完成了一个涡轮迭代。该过程重复,最后一次涡轮迭代输出LDPC解码的信息位。
6.仿真性能比较
在本节中,我们使用本章介绍的各种检测方法给出OTFS的仿真结果。考虑一个N = M = 64的OTFS帧。子载波间距为f = 15kHz,载波频率设置为4GHz,调制方式为QPSK,UE最大移动速度500km/h。仿真的标准信道模型在第2.5.1节中指定。对于每个信噪比点,在1000帧上仿真误码率。
仿真中考虑了不同的接收器检测方案:单抽头频域均衡、LMMSE检测、MP检测和MRC检测(最大迭代次数15)。我们可以观察到,MRC检测的性能最好,其次是MP和LMMSE。复杂度最低的单抽头均衡器提供了最差的性能。在高信噪比下,MP性能不如MRC。更多性能比较分析,可参考原文。
评论区
登录后即可参与讨论
立即登录