引言
在中等容量的开关电源中,双管正激变换器有比较明显的优势,它克服了单管正激变换器开关管电压应力过高的缺点,而且不需要特殊变压器磁复位电路。更重要的是,与全桥变换器和半桥变换器相比,其在结构上有抗桥臂直通的优点,因此已成为应用最为普遍的电路拓扑结构。本文设计了一种采用UC3844控制器的多路输出双管正激开关电源。UC3844是一种电流调制的PWM控制器,实现电压电流双闭环控制,芯片内阻较大(30kD),启动电流小(小于l mA),因此在高压输入时仍然可以使用大电阻分压来进行启动,直接采用变压器输出端反馈,控制电路简单,电路输出采用LM350调整电压精度。
1 变换器工作原理
本文设计的变换器输出功率200W,开关频率为50kHz,工作范围400~600V,输出4路分别为24V、+12V和5 V。
图1是变换器的原理图,主电路是双管正激
变换器,开关管S1和S2跳同时导通,能量通过高频变压器传输到输出侧,经整流输出给负载;开关管关断时,变压器能量通过续流二极管D1和 D2回馈到输入端,变压器磁芯复位。

S1和S2采用功率 MOSFET 作为功率开关管。开关管与瞬态电压抑制器( TVS )并联,可靠保护开关管。 R3 、C2、 D9 构成高频变压器原边缓冲电路,用以限制开关管漏极因高频变压器的漏感而可能产生的尖峰电压, D9 选用超快恢复二极管,恢复时间为 75ns 。变压器原边的直流输入电压、原边绕组的感应电压以及由变压器的漏感而产生的尖峰电压,三者叠加在一起,其值可能超过 MOSFET 的额定电压,所以必须在开关管的 D-S极之间增加钳位电路和吸收电路,用以保护功率 MOSFET 不被损坏。 R1,R2、C1、D3 与 R4、R5、C3、D4。构成了两个开关管的缓冲电路, D3 和 D4 选用超快恢复管,其较大反向耐压值为 700V ,恢复时间为 30ns。
输出部分采用半波加续流二极管整流,二极管选用超快恢复 MUR820 ,额定值为 8A200V ,恢复时间为 30ns 。
1 变换器工作原理
UC3844电流 PWM 模式集成控制芯片广泛用于中、小功率的 DC/DC开关电源, UC3844 内部主要由 5 . 0V 基准电压源、振荡器、降压器、电流检测比较器、 PWM 锁存器、高增益 E/A 误差放大器和用于驱动功率 MOSFET的大电流推挽输出电路等构成,启动/关闭电压阈值为 16V/ 10V ,输出较大占空比为 50 % ,工作频率 0~500 kHz ,驱动能力达±1A 。
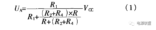
UC3844 典型外围电路如图 2 所示。 UC3844 的内阻大约 30KΩ,它的启动电压可以由主电路输人电压经过 R1、R2、R3、R(芯片内阻)分压而得到,由图 2 可以知道, A 点电压的计算公式为


UC3844 的启动电压为 16V ,式中 R =30KΩ , R2 = 20KΩ, R4 = 4 . 7KΩ,可计算出,当 R1=300KΩ时, Vcc =400V 电路开始工作。 UC3844 启动时电流不到 1mA ,启动过程中电阻 R1所消耗的功率 PPRI大约为

在双管正激变换器中,两开关管是同步的,因此采用变压器分两路来同时给开关管驱动信号,接线如图 3 所示。 UC3844 正常工作时的电源和电压反馈由主变压器的反馈绕组提供;除此之外,通过小电阻对开关管电流进行采样,作为 UC3844的电流反馈信号。 UC3844 输出驱动脉冲为15 V , 输出电流可到 IA ,考虑到变压器及元件的压降,变压器设计为升压型,变比为16:18,输出端采用15 V稳压管对驱动信号进行稳压。

3 调整电压精度
传统的UC3844用于反激变换器采用离线式结构,这种方式电路简单,整个补偿网络只由PI电路构成,参数选择简便。但是由于反馈不直接从输出电压取样,所以输出电压仍有很大的纹波,一般为±2%,负载变化时,输出电压变化大、响应慢,不适用于精度要求高或负载变化大的场合。在精度要求较高的时候,则要通过稳压来调整输出精度。本文借助于可调三端稳压器LM350来满足精度要求。LM350较大输出电流可以达到3 A,电压调整范围为1.2-33 V,图4为LM350的典型应用图,输出电压计算式为:

其中IADJ=50μA,R1=240Ω,通过调整可调电阻尺 来对输出稳压值进行调节。电路中输出滤波电容C2的存在,LM350对输人到LM350的电压纹波非常敏感,因此在输人端增加旁路电容C1来削弱输人电压纹波的影响。

4 实验结果及分析
实验电路参数:对应于输入400~600V,而输出电压24V、±12V、5 V,主变压器原副边变比为75:6、3、1,由于本文设计的反馈是24 V支路绕组反馈,其它支路的采用LM350对输出稳压。实验数据如表1所列,实验波形如图5 图8所示。
5 结语
实验结果表明,本文设计采用UC3844控制器的多路输出双管正激变换器具有稳定性好。使用大电阻分压来调整电路启动电压值,控制电路简单可靠,实用性强,适用于宽范围电压输人场合。同时为适合不同的精度要求,设计了两种方案,一种是精度要求较低时直接由变压器整流输出,另一种是精度较高时采用三端稳压管LM350进行调整。经过实验测试,两种方案可以满足不同场合需求。





原文标题:多路双管正激电源设计
文章出处:【微信号:Power-union,微信公众号:电源联盟】欢迎添加关注!文章转载请注明出处。
评论区
登录后即可参与讨论
立即登录