一前言
传导发射(CE)测试作为电磁发射(EMI)测试中的一项,主要研究的是电子、电气设备正常工作时内部产生的干扰通过电源线或信号线传输出去,对其他设备或系统造成的干扰强度。
为了保证其他设备或系统的正常工作,被测产品需要满足相关的标准限值。本文主要针对低频滤波电路在传导电压法(CEV)中的应用作简要探讨。CEV测试简要拓扑图如下:


二传导骚扰低频辐射的特点
1.消费类(GB/T 9254.1)传导发射测试频段-限值如下:

2.车载零部件(GB/T 18655)传导发射测试频段-限值如下:

3.根据天线辐射理论,当导线长度为信号波长的1/4时辐射强度最强,波长与线长的关系如下:

L为导线长度,λ为波长,C为光速,f为频率。
对于0.15MHz频点,辐射天线长度L=500m;
对于30MHz,L=2.5m。
对于108MHz频点,L=0.7m。
可见频率越低,要产生对外辐射所对应的天线长度越长。所以对于低频传导辐射问题,一般认为噪声主要在线间传播,以差模噪声为主。

三常见滤波电路
常见的滤波电路有:低通滤波,高通滤波和带通滤波,由传导的测试方式和频段可知,对于0.15MHz以上频段的噪声都是需要抑制的,且理想电源端口只有直流电,故一般选用低通滤波电路,常用的低通滤波器电路如下:
1.LC型滤波

2.C-L型滤波

3.π型滤波

4.T型滤波

RI为内电阻,RL为负载。
滤波电路与插入损耗的关系如下:


四适用于传导噪声的低频滤波设计
1.滤波阶数:
由插入损耗关系图可以知道,滤波电路阶数越高,噪声衰减越快,可以根据噪声超标幅值选择滤波阶数;
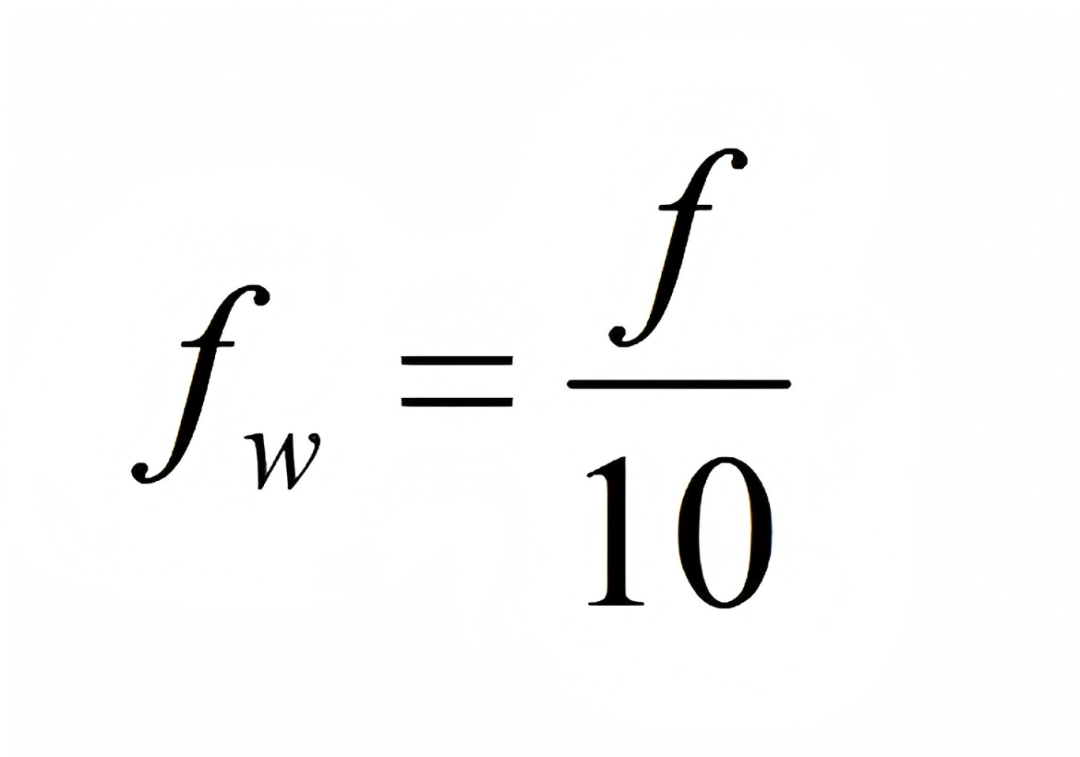
2.截止频率设计:
由插入损耗图可知,一阶滤波电路每增加10倍频,信号衰减增加20dB,所以如果超标频点为f,对该频点需要抑制20dB,那么滤波电路的截止频率设计就为:
3.滤波电路选择:
由滤波电路可知,滤波设计时还需要考虑源阻抗RI和负载阻抗RL,但是实际电路的阻抗很难估算,所以滤波电路的选择需要以试验为主。

五案例
接下来我们来看一个传导测试数据:
1.原数据

由数据可知,噪声超标频段在1MHz以内,主要以线间差模噪声为主,故考虑在电源端口进行低通滤波电路设计,电路拓扑如下:
2.C-L滤波
3.L-C滤波

由数据可知,对于该电路而言,我们只是调整了低通滤波电路电容的位置,将C-L滤波调整为LC滤波,测试数据结果就有非常明显的变化。说明在实际应用中,当面对低频传导超标问题时,在判定噪声路径之后,可以多尝试不同的滤波电路,快速试验出有效的滤波方案。
评论区
登录后即可参与讨论
立即登录