在微波频段,特定特征阻抗的四分之一传输线是个宝贝,经常被用来做匹配。
比如说,负载阻抗是100ohm,我现在想把这个100ohm匹配到50ohm怎么办?
用一个特征阻抗为70.71ohm的,长度为四分之一波长的传输线,就可以。
为什么呢?
首先,从传输线上的阻抗看起。
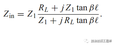
如下图所示,传输线的线长是四分之一波长,特征阻抗为Z1,负载电阻为RL。

由传输线上的电压和电流的表达式,可以推导出,传输线左侧看进去的阻抗为:

因为传输线的长度为λ/4,所以 β = (2π/λ)(λ/4) = π/2,从而可以得到:

为了使从 λ/4传输线看过去的反射系数为0,则需要Zin=Z0。
所以,

也就是说,当长度为λ/4的传输线的特征阻抗是源电阻和负载电阻的几何平均数时,虽然在λ/4匹配传输线上有驻波,但是馈线上没有反射。
很神奇,是吧?
从公式推导来看,是上面的这样的结果。但是为什么会产生这样的结果呢?
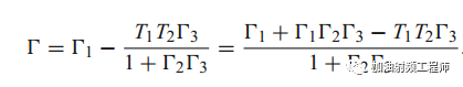
玄机就在下面的这幅图中。

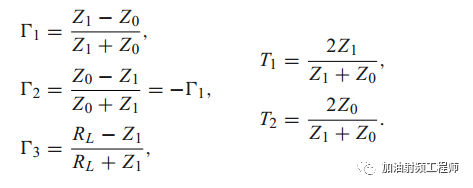
当一个入射波,进入传输线时,它会经历多重入射和反射。
而馈线上的反射系数为:

其中的负号,是因为每经过两次四分之一波长的传输线,会产生180度的相移。
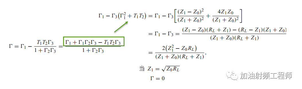
因为:

所以:

而:

因此:

也就是说,当传输线的长度为四分之一波长,且特征阻抗满足一定条件的情况下,虽然瞬态的反射系数不为0,但是在经过无数次反射后,稳态情况下馈线上的反射系数为0。
所以,利用四分之一波长的传输线(体现在180度相移上),可以将一个实阻抗匹配到50ohm,或者其他实阻抗。
参考文献:
[1] david M. pozar微波工程
往期推荐:
[1] 关于作者
[2]接地的三个目标
[3]混频器噪声系数那些事
评论区
登录后即可参与讨论
立即登录