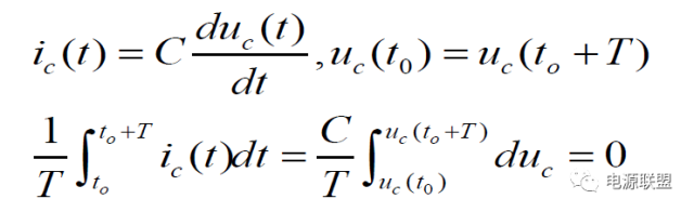
两个基本定理
稳态定理1
一个开关周期T内,电感器两端平均电压稳态时为0,即无直流电压分量。

变压器任一绕组或电感绕组在Ton和Toff期间,需满足伏秒积相等。
稳态定理2:
一个开关周期T内,流过电容器得平均电流稳态时为0,即无直流分量。

1、BUCK变换器工作模态分析;
2、CRM、CMM下BUCK电感设计;
3、 BUCK电路旁路电容对EMI的影响。
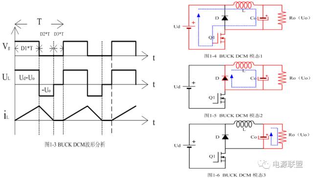
1、BUCK变换器工作模态分析
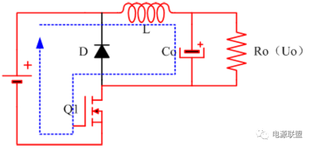
1.1 BUCK 变换器拓扑

1.2 BUCK-DCM 工作模态分析

当DC-DC变换器的理想开关采用电压单向或电流单向的半导体开关时,将产生不连续导通模式(DCM)的工作模式。当电感电流或电容电压的开关纹波达到引起开关上的电流或电压极性反向时,不连续导通模式就会产生。
下面分析Buck变换器的输入输出关系。我们将工作于不连续导通模式的Buck电路分为3个模态:模态1如图1-4所示,占空比为D1;模态2如图1-5所示,占空比为D2;模态3如图1-6所示,占空比为D3。
模态1:
如图1-3,0
注:采用线性纹波近似,忽略输出电容电压纹波,但电感电流纹波没有忽略。
注:采用线性纹波近似,忽略输出电容电压纹波,但电感电流纹波没有忽略。
模态3:
如图1-3,(D1+D2)T
注:采用线性纹波近似,忽略输出电容电压纹波,但电感电流纹波没有忽略。
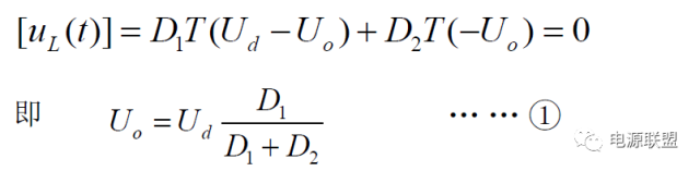
综合以上分析,根据电感伏秒平衡原理,此波形的直流成分必须为零,则有:
利用电容安秒平衡得到:
根据电容安秒平衡,电容电流的直流成分为零,则有:
而对于BUCK变换器,电感电流的直流成分等于直流负载电流,即:
在开关周期开始时刻电流为零,在第一个开关模态内电感电流峰值为:
电感电流的直流成分仍是平均值
采用三角形面积公式,得:
将式②和式④代入式③,得:
利用式①和式⑤消去D2,解出Uo与Ud的关系式
1.3、BUCK-CRM工作模态分析
根据电感伏秒平衡原理,此波形的直流成分必须为零,则有:
2、CRM、CMM下BUCK电感设计
2.1、BUCK CRM电感设计
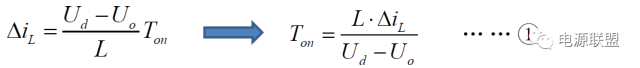
根据电感伏秒平衡原理,可知在MOS管导通期间,电感电流的变化量为:
同理,在MOS管关断期间,电感电流的变化量为:
由于电感电流的变化量等于输出电流变化量,即有:
由以上三式可得开关频率的表达式:
2.2、BUCK CRM电感设计for EUD240S220DT
参数要求:
1、 Vin_rms=170VDC, 纹波±5V;
2、 Vout1=109V, Iout1=2.2A;
out2=156V,Iout2=1.54A;
3、 避免开关噪音,fs≧30k Hz ;
4、 CRM变频控制,NCP1377;
5、 电路结构如下:
2.3、BUCK CRM PFM电感设计for220DT
2.4、BUCK CCM 恒频电感设计
3、BUCK电路旁路电容对EMI的影响.
BUCK EMI布板要求
3.1、C1 对BUCK EMI影响
3.2、C2 对BUCK EMI影响
3.3、C3 对BUCK EMI影响





























原文标题:Buck多知识点:模态分析,电感计算,EMI分析
文章出处:【微信号:Power-union,微信公众号:电源联盟】欢迎添加关注!文章转载请注明出处。
评论区
登录后即可参与讨论
立即登录